Реляционные базы данных использовались на протяжении длительного времени. Они стали популярными благодаря системам управления, которые реализуют реляционную модель настолько хорошо, что она является наилучшим способом работы с данными, особенно для критически важных приложений и служб.
MySQL существует достаточно давно и зарекомендовала себя как отличное решение, Postgresql пришла на рынок приблизительно в то же самое время, но предоставляет достаточно много интересных функций и возможностей, благодаря чему стремительно набирает популярность. В этой статье мы попытаемся выполнить сравнение MySQL vs Postgresql, сравним основные отличия этих систем, выясним как они работают и попытаемся понять какая система будет лучше для вашего проекта.
Системы управления базами данных
Базы данных предназначены для структурированного хранения и быстрого доступа к различным данным. Каждая база данных, кроме самих данных, должна иметь определенную модель работы, по которой будет выполняться обработка данных. Для управления базами данных используются СУБД или системы управления базами данных, именно к таким программам относятся MySQL и Postgresql.
Реляционные системы управления базами данных позволяют размещать данные в таблицах, связывая строки из разных таблиц и, таким образом, связывая разные, объединенные логически данные. Перед тем, как вы сможете сохранять данные, необходимо создать таблицы определенного размера и указать тип данных для каждого столбца. Столбы представляют поля данных, а сами данные размещены в строках. Обе системы управления базами данных, и MySQL vs Postgresql принадлежат к реляционным. Дальше мы рассмотрим подробнее чем отличаются обе программы. А теперь перейдем к более детальному рассмотрению.
Краткая история
MySQL
Разработка MySQL началась еще в 90х годах. Первый внутренний выпуск базы данных состоялся в 1995 году. За это время разработкой программы занимались несколько компаний. Разработка была начата шведской компанией MySQL AB, которую приобрела Sun Microsystems, которая, собственно перешла в собственность Oracle. На данный момент, начиная с 2010 года, разработкой занимается Oracle.
Postgresql
Разработка Postrgresql началась в далеком 1986 году в стенах Калифорнийского университета Беркли. Разработка длилась почти восемь лет, затем проект разделился на две части коммерческую базу данных IIlustra и полностью свободный проект Postrgesql, который разрабатывается энтузиастами.
Хранение данных
MySQL
MySQL — это реляционная база данных, для хранения данных в таблицах используются различные движки, но работа с движками спрятана в самой системе. На синтаксис запросов и их выполнение движок не влияет. Поддерживаются такие основные движки MyISAM, InnoDB, MEMORY, Berkeley DB. Они отличаются между собой способом записи данных на диск, а также методами считывания.
Postgresql
Postgresql представляет из себя объектно реляционную базу данных, которая работает только на одном движке — storage engine. Все таблицы представлены в виде объектов, они могут наследоваться, а все действия с таблицами выполняются с помощью объективно ориентированных функций. Как и в MySQL все данные хранятся на диске, в специально отсортированных файлах, но структура этих файлов и записей в них очень сильно отличается.
Стандарт SQL
Независимо от используемой системы управления базами данных, SQL — это стандартизированный язык выполнения запросов. И он поддерживается всеми решениями, даже MySQL или Postgresql. Стандарт SQL был разработан в 1986 году и за это время уже вышло нескольких версий.
MySQL
MySQL поддерживает далеко не все новые возможности стандарта SQL. Разработчики выбрали именно этот путь развития, чтобы сохранить MySQL простым для использования. Компания пытается соответствовать стандартам, но не в ущерб простоте. Если какая-то возможность может улучшить удобство, то разработчики могут реализовать ее в виде своего расширения не обращая внимания на стандарт.
Postgresql
Postgresql — это проект с открытым исходным кодом, он разрабатывается командой энтузиастов, и разработчики пытаются максимально соответствовать стандарту SQL и реализуют все самые новые стандарты. Но все это приводит к ущербу простоты. Postgresql очень сложный и из-за этого он не настолько популярен как MySQL.
Возможности обработки
Из предыдущего пункта выплывают и другие отличия postgresql от mysql, это возможности обработки данных и ограничения. Естественно, соответствие более новым стандартам дает более новые возможности.
MySQL
При выполнении запроса MySQL загружает весь ответ сервера в память клиента, при больших объемах данных это может быть не совсем удобно. В основном по функциям Postgresql превосходит Mysql, дальше рассмотрим в каких именно.
Postgresql
Postgresql поддерживает использование курсоров для перемещения по полученным данным. Вы получаете только указатель, весь ответ хранится в памяти сервера баз данных. Этот указатель можно сохранять между сеансами. Здесь поддерживается построение индексов сразу для нескольких столбцов таблицы. Кроме того, индексы могут быть различных типов, кроме hash и b-tree доступны GiST и SP-GiST для работы с городами, GIN для поиска по тексту, BRIN и Bloom.
Postgresql поддерживает регулярные выражения в запросах, рекурсивных запросов и наследования таблиц. Но тут есть несколько ограничений, например, вы можете добавить новое поле только в конец таблицы.
Производительность
Базы данных должны обязательно быть оптимизированы для окружения, в котором вы будете работать. Исторически так сложилось что MySQL ориентировалась на максимальную производительность, а Postgresql разрабатывалась как база данных с большим количеством настроек и максимально соответствующую стандарту. Но со временем Postgresql получил много улучшений и оптимизаций.
MySQL
В большинстве случаев для организации работы с базой данных в MySQL используется таблица InnoDB, эта таблица представляет из себя B-дерево с индексами. Индексы позволяют очень быстро получить данные из диска, и для этого будет нужно меньше дисковых операций. Но сканирование дерева требует нахождения двух индексов, а это уже медленно. Все это значит что MySQL будет быстрее Postgresql только при использовании первичного ключа.
Postgresql
Вся заголовочная информация таблиц Postgresql находится в оперативной памяти. Вы не можете создать таблицу, которая будет не в памяти. Записи таблицы сортируются по индексу, а поэтому вы можете их очень быстро извлечь. Для большего удобства вы можете применять несколько индексов к одной таблице.
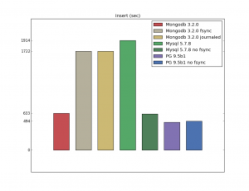
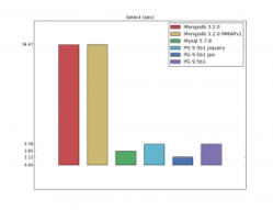
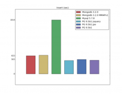
В целом PostgreSQL работает быстрее, за исключениям использования первичных ключей. Давайте рассмотрим несколько тестов с различными операциями:

Типы данных
Один из основных моментов обоих баз данных это поддерживаемые типы данных, которые вы можете использовать. Поскольку оба решения пытаются соответствовать синтаксису SQL, то они имеют похожие наборы, но все же кое-чем отличаются.
MySQL
MySQL поддерживает такие типы данных:
- TINYINT: очень маленькое целое.;
- SMALLINT: маленькое целое;
- MEDIUMINT: целое среднего размера;
- INT: целое нормального размера;
- BIGINT: большое целое;
- FLOAT: знаковое число с плавающей запятой одинарной точности;
- DOUBLE, DOUBLE PRECISION, REAL: знаковое число с плавающей запятой двойной точности
- DECIMAL, NUMERIC: знаковое число с плавающей запятой;
- DATE: дата;
DATETIME: комбинация даты и времени; - TIMESTAMP: отметка времени;
- TIME: время;
YEAR: год в формате YY или YYYY; - CHAR: строка фиксированного размера, дополняемая справа пробелами до максимальной длины;
- VARCHAR: строка переменной длины;
- TINYBLOB, TINYTEXT: двоичные или текстовые данные максимальной длиной 255 символов;
- BLOB, TEXT: двоичные или текстовые данные максимальной длиной 65535 символов;
- MEDIUMBLOB, MEDIUMTEXT: текст или двоичные данные;
- LONGBLOB, LONGTEXT: текст или двоичные максимальной данные длиной 4294967295 символов;
- ENUM: перечисление;
- SET: множества.
Postgresql
Поддерживаемые типы полей в Postgresql достаточно сильно отличаются, но позволяют записывать точно те же данные:
- bigint: знаковое 8-байтовое целое;
- bigserial: автоматически увеличиваемое 8-байтовое целое;
- bit: двоичная строка фиксированной длины;
- bit varying: двоичная строка переменной длины;
- boolean: флаг;
- box: прямоугольник на плоскости;
- byte: бинарные данные;
- character varying: строка символов фиксированной длины;
- character: строка символов переменной длины;
- cidr: сетевой адрес IPv4 или IPv6;
- circle: круг на плоскости;
- date: дата в календаре;
- double precision: число с плавающей запятой двойной точности;
- inet: адрес интернет IPv4 или IPv6;
- integer: знаковое 4-байтное целое число;
- interval: временной промежуток;
- line: бесконечная прямая на плоскости;
- lseg: отрезок на плоскости;
- macaddr: MAC-адрес;
- money: денежная величина;
- path: геометрический путь на плоскости;
- point: геометрическая точка на плоскости;
- polygon: многоугольник на плоскости;
- real: число с плавающей точкой одинарной точности;
- smallint: двухбайтовое целое число;
- serial: автоматически увеличиваемое четырехбитное целое число;
- text: строка символов переменной длины;
- time: время суток;
- timestamp: дата и время;
- tsquery: запрос текстового поиска;
- tsvector: документ текстового поиска;
- uuid: уникальный идентификатор;
- xml: XML-данные.
Как видите, типов данных в Postgresql больше и они более разнообразны, есть свои типы полей для определенных видов данных, которых нет MySQL. Отличие MySQL от Postgresql очевидно.
Разработка
Оба проекта имеют открытый исходный код, но развиваются по-разному. Развитие MySQL нравится далеко не всем. И в этом сравнение mysql и postgresql дает много отличий.
MySQL
База данных MySQL разрабатывается компанией Oracle и ходят слухи, что компания намерено тормозит развитие движка. Было создано очень много форков проекта, в том числе форк MariaDB от разработчика оригинальной MySQL. Но все же развитие остается медленным.
Postgresql
Как было сказано в начале статьи разработка началась в университете Беркли. Затем перешла в коммерческую компанию. Сейчас программа разрабатывается независимой группой программистов и советом нескольких компаний. Новые версии выпускаются достаточно активно и получают все новые и новые функции.
Выводы
В этой статье мы выполнили сравнение mysql и postgresql, рассмотрели основные отличия обоих систем управления базами данных и попытались понять что лучше postgresql или mysql. В общем результате лучшим по возможностях получается Postgresql, но он сложен и не везде его можно применять. MySQL проще, но не поддерживает некоторых интересных функций. А какую базу данных вы выберите для своего проекта? Почему именно ее? Напишите в комментариях!
На завершение видео с описанием возможностей и перспектив Postgresql: